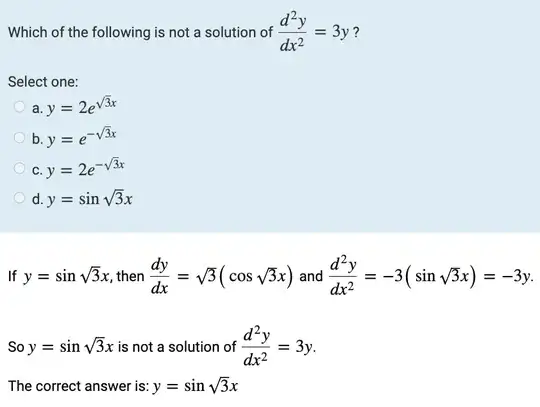
How do we solve a question like this with only the skills in Calculus 1. Or is trial and error our best shot?
I tried separating it to one variable on each side, but ended up with $y \ln y + y + c = \frac {x^2}{2} +c$ and couldn't reduce further to solve for y...
