4

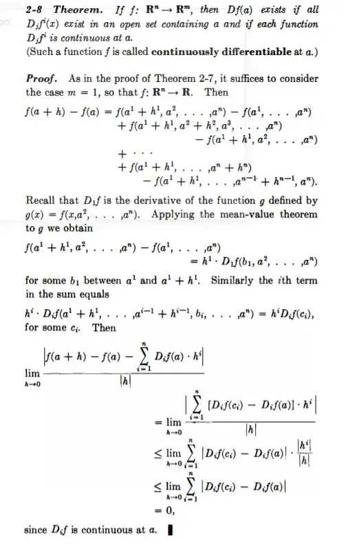
This is from Spivak's Calculus on Manifold and I have some questions about the assumptions and implications of this proof: enter image description here

  1. I noticed one of the assumptions regarding the partial derivatives is that they exist not just at the point a, but also in an open set containing a. What if the partial derivatives only exist at the point a (and is also continuous at the point a) but nowhere else? Is there a counterexample showing that f is no longer differentiable with this change in assumption?

  2. This proof does not seem to care whether we are using the standard basis vectors or not for our partials. If we choose non orthonormal basis, would this proof still be valid? So for example in $\mathbb{R}^2$. if we choose $\{(1,1),(1,0)\}$ as our basis and coordinate axis and proved the partial derivative with this basis is continuously differentiable, does the conclusion still hold?

  3. If what I said above is correct, then is there an alternative proof to this using directional derivatives? Say we are given the standard basis (in $\mathbb{R}^2$, but instead, we choose two linearly independent vectors and proved that the function defined in those directions are continuously differentiable at the point a, does that still allow us to conclude the function is differentiable at the point a?

Henry Lee
  • 12,554
Bill
  • 4,721

2 Answers2

7

One standard counterexample is $$ f(x,y) = \begin{cases} 0 & \text{when }x=y=0 \\ \dfrac{xy}{x^2+y^2} & \text{otherwise} \end{cases} $$ This function is not even continuous at $(0,0)$ (which is most easily seen by the fact that it is constant on every open ray out of $(0,0)$) and so definitely not differentiable there. But its partial derivatives nonetheless exist everywhere. They just aren't continuous at $(0,0)$.

Since you're thinking about basis changes, you can also consider some variants of this:

$$ f_2(x,y) = f(x^2,y) = \begin{cases} 0 & \text{when }x=y=0 \\ \dfrac{x^2y}{x^4+y^2} & \text{otherwise} \end{cases} $$ Not only the partial derivatives but all directional derivatives (along straight lines) of $f_2$ exist everywhere, but the function is still not continuous at $(0,0)$.

$$ f_3(x,y) = x f(x,y) = \begin{cases} 0 & \text{when }x=y=0 \\ \dfrac{x^2y}{x^2+y^2} & \text{otherwise} \end{cases} $$ This function also has all directional derivatives everywhere and is continuous everywhere, but is not differentiable at $(0,0)$.


What if the partial derivatives only exist at the point a (and is also continuous at the point a)

The partial derivatives cannot really be continuous at $a$ without exisiting in an entire neighborhood of $a$.

You might for example consider something like

$$ g(x,y) = \begin{cases} f(x,y) & \text{when }x+y\in\mathbb Q \\ f(x,y) + x^2+y^2 & \text{otherwise} \end{cases} $$ where $f$ is the function from above. The partial derivatives of $g$ exist at exactly one point, namely $(0,0)$. Perhaps you'd consider them "continuous" at $(0,0)$ because there are no nearby points where they exist and differ? However $g$ is discontinuous everywhere.


Or, alternatively, let $k:\mathbb R\to\mathbb R$ be a continuous but nowhere differentiable functions such as the Weierstrass function, and consider $$ h(x,y) = x^2y^2k(x+y) + xf(x,y)^2 $$ Then $h$ is continuous everywhere and its partial derivatives exist exactly on the coordinate axes but nowhere else. Those partial derivatives are identically $0$ where they exist, so they could more meaningfully be considered "continuous" at $(0,0)$. However, $h$ is not differentiable at $(0,0)$.

Troposphere
  • 7,637
2
  1. continuity at an interior point of an open set requires the function to be defined in an open set containing that point; i.e if the partial derivatives aren't even defined in some open set containing the point $a$, then we can't meaningfully speak of continuity at $a$.

  2. Yes, the choice of basis is irrelevant. In fact, let $V,W$ be finite-dimensional real vector spaces, $A\subset V$ an open set, $a\in A$ and $f:A\to W$ a given mapping. If there is a spanning set $\{v_1,\dots, v_n\}$ of $V$ such that all the directional derivatives $D_{v_i}f$ are continuous at $a$ (i.e this requires the directional derivatives $(D_{v_i}f)(x):=\frac{d}{dt}\bigg|_{t=0}f(x+tv_i)$ to exist for all $x$ in a neighborhood of $a$), then $f$ is in-fact differentiable at $a$.

  3. Essentially, all you have to do is rewrite the telescoping sum in the beginning appropriately and replace $D_i$ with $D_{v_i}$ in Spivak's proof.

peek-a-boo
  • 65,833