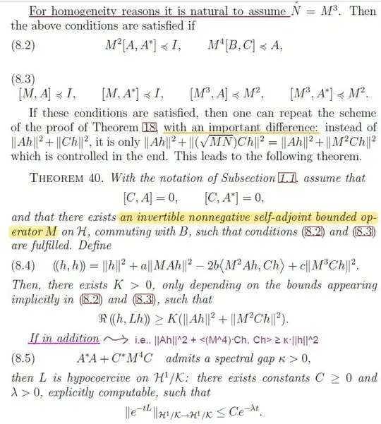
I think there is an (possible) error in Villani's monograph titled "Hypocoercivity". To be specific, in page 62 (the first snapshot), he defined a new inner product $((\cdot,\cdot))$ as in (8.1). Then in the Theorem 40 below (page 64, with the choice $N = M^3$) this inner product is changed to (8.4), which is definitely different from (8.1). Also, even though we accept (8.4) rather than (8.1) as the definition of $((\cdot,\cdot))$, I don't see why (8.5) implies the advertised conclusion (which basically says the existence of some constant $\lambda$ such that $((h,Lh)) \geq \lambda\,((h,h))$ (please ignore the real part as I am only looking at the real case). (Background information: here $L := A^*A + B$ and $B$ is antisymmetric). I sometimes feel that celebrated mathematicians are so careless and they didn't pay great attention to details. Thanks for any help!
Asked
Active
Viewed 414 times
7
-
For reference, in case its status changes, here is a link to your (as-of-yet) unanswered MO question: https://mathoverflow.net/questions/387120/another-question-from-villanis-monograph-hypocoercivity . – peter a g Apr 02 '21 at 18:36
-
How is (8.4) different from (8.1)? There is the specialisation $N = M^3$ that you pointed out and seems, at first sight, coherent with the computations. The only other thing I see is the sign before $b$, but reading the text, $a$, $b$ and $c$ seem arbitrary, so I don't see how it matters. – D. Thomine Apr 02 '21 at 18:47
-
@peterag The MO post is also attached with a bounty, but no one has answered that yet – Fei Cao Apr 02 '21 at 18:59
-
1@D.Thomine If you look at the "b"-terms, in (8.1) with $N = M^3$ this becomes $2b,\langle MAh,M^3Ch\rangle$, whereas the corresonding term in (8.4) is $-2b\langle M^2Ah,Ch\rangle$, they differ not only by a sign! – Fei Cao Apr 02 '21 at 19:04
-
1I retract what I said, the sign of $b$ may be important. You are right about the missing $M^2$ term. Anyway, a solution may be to ask directly the author; he maintains an errata page for this book, so this would have the advantage of making the answer widely accessible. – D. Thomine Apr 06 '21 at 05:31
-
@D.Thomine If you have ever sent C.Villani an email you will find that he possibly blocked any email he does not know personally. Asking directly the author is definitely not possible... maybe I should say "with probability 1", you email will not be "received" by his email address. But thanks for coming up with an idea. – Fei Cao Apr 06 '21 at 06:08
-
You can write directly to Villani, as mentioned already by D.Thomine or you can write to the publisher (publisher can also inform Villani). – Vítězslav Štembera Apr 08 '21 at 08:05

