Recently I have been studying rotation numbers and all sources I came across define them for invertible circle maps $A$. But what breaks, when $A$ is not bijective? I.e...
Let $A: \mathbb{R} \to \mathbb{R}$ be a continuous map such that $A(y + 1) = A(y) + 1$. For $y \in \mathbb{R}$ let its rotation number be given by $$ \rho_y(A) := \lim\limits_{k \to \infty} \frac{A^k(y) - y}{k}. $$
Suppose now $A$ is non-invertible.
- Then can $\rho_y$ exist?
- If so, is $\rho_y$ independent of $y$?
I would be very grateful about a hint or two where to start.
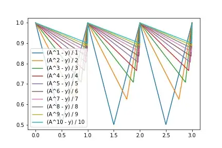
So I came up with the following example: For $s \in \mathbb{R}$ let $$ A(y) = \begin{cases} \lfloor y \rfloor + s &\text{ if } & y \mod 1 \leq \frac{1}{2} \\ 2y - \lfloor y \rfloor - 1 + s &\text{ else } & \end{cases}. $$ $A$ fulfills the requirements stated above and is not injective.
And empirically we have $\rho_y(A) = s$:
So $\rho$ does exists and is independent of $y$.
Proof (Idea):Bound $A(y)$ from below by $L(y) = \lfloor y \rfloor + s$ and from above by $U(y) = y + s.$ Then sandwich $\rho_y(A)$.

