Answers obtained from two online integral calculators:
$$\begin{align}\int\dfrac{\sqrt{1 + x}}{\sqrt{1 - x}}\,\mathrm dx &= -\sqrt{\dfrac{x + 1}{1 - x}} + \sqrt{\dfrac{x + 1}{1 - x}}x - 2\arcsin\left(\dfrac1{\sqrt2}\sqrt{1 - x}\right) + C \\ \int\dfrac{\sqrt{1 + x}}{\sqrt{1 - x}}\,\mathrm dx &= 2\sin^{-1}\left(\dfrac{\sqrt{x + 1}}{\sqrt2}\right) - \sqrt{1 - x^2} + \text{ constant} \end{align}$$
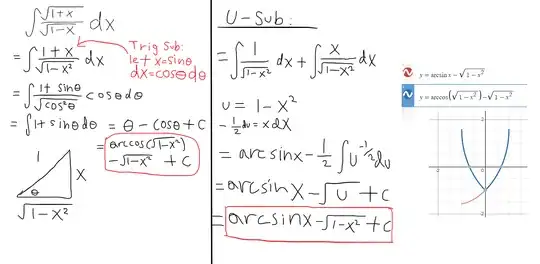
Answers from online calculator shown above, and my answers shown in the link:

Update:
I realized that the substitution for $\theta$ was supposed to be $\arcsin$ not $\arccos$, so the answer would have been the same as the right hand side.
But I also noticed that using the initial substitution to plug $x$ back in the final answer will not always give the correct answer because in a similar question:
$$\int \frac{\sqrt{x^2-1}}x dx$$
has a trig-substitution of $x = \sec\theta$, and the answer in terms of $\theta$ would be: $\tan \theta - \theta + C$. Then the final answer in terms of $x$ should be : $\sqrt{x^2-1} - \operatorname{arcsec}(x) + C$.
But online integral calculators give the answer: $\sqrt{x^2-1} - \arctan(\sqrt{x^2-1}) + C$, which doesn't match the original substitution of:
$$x = \sec\theta \to \theta = \operatorname{arcsec}(x)$$
Anyone know why the calculator gives that answer which doesn't match the original trig-substitution of $x = \sec \theta \to \theta = \operatorname{arcsec}(x)$?
x = secθ – Feb 17 '20 at 21:25