I don't understand how's the pointed portion of the second line derived. can anyone explain please.

I don't understand how's the pointed portion of the second line derived. can anyone explain please.

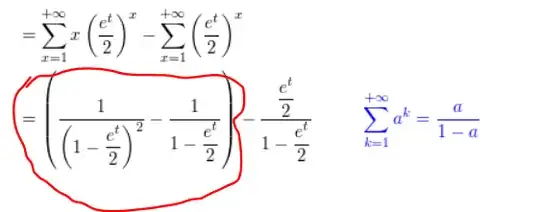
You know $S_0=\sum_1^\infty a^k = \dfrac{a}{1-a}$ from the blue
Now consider $S_1=\sum_1^\infty k \,a^k$
You have $aS_1 = \sum_1^\infty a k \,a^k = \sum_1^\infty k \,a^{k+1} = \sum_2^\infty (k-1) \,a^{k} = \sum_1^\infty (k-1) \,a^{k} = S_1-S_0$
so $aS_1 = S_1-S_0$ and thus $(1-a)S_1=S_0=\dfrac{a}{1-a}$
giving $S_1=\dfrac{a}{(1-a)^2} = \dfrac{1}{(1-a)^2} - \dfrac{1}{1-a}$
Here $a=\dfrac{e^t}{2}$