I am aware that this question is related to this but I thought it would be useful to clarify a few things.
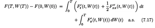
I am reading this book to get a quick overview of stochastic calculus. It introduces the Ito's lemma in an almost sure sense, 
However, the term $\int_0^T F'_x(t,W(t)) dW(t)$ is defined in the book as a limit of sums which converge in $L^2$.
In the proof of Ito's Lemma, the book always mentions that if the convergence is $L^2$, there is a subsequence that converges almost surely.
With this in mind, is it OK then to define stochastic integrals $\int_0^T f(t,W(t)) \,dW(t)$ in the almost sense? I find this confusing since this integral may not even be defined for an abritrary continuous function $f$ especially if $f$ and $W$ don't simultaneously satisfy certain variation conditions. OR, should I interpret it in this manner: Define the stochastic integral in $L^2$ and for those which converge in $L^2$, we can also define the a.s. convergence using the subsequence argument?
Hoping for clarification on the issue. Thanks!
$W(\omega,t)^2 = \int_0^t , dt + 2\int_0^t W(\omega,s) ,dW(s)$ almost surely.
The $\omega$ above is to emphasize the sample. In other words, if I simulate a sample of Brownian motion $W(\omega,s)$ for $s \in [0,t]$, then that sample satisfies the above equality. Now for this particular sample $W(\omega,s)$, how would I compute the integral term $\int_0^t W(\omega,s) dW(\omega,s)$? This is now a deterministic quantity
– Tomas Jorovic Aug 05 '19 at 01:23