One way to see it is via the action of $\mathrm{GL}(2, \mathbb{R})$ on the projective line, $\mathbb{P}^1(\mathbb{R})$ (I will assume the concept is known to you, otherwise please refer to the linked article ).
There is the usual embedding $\psi : \mathbb{R} \to \mathbb{P}^1(\mathbb{R})$ given by $\psi(x) = [x : 1]$ (see homogeneous coordinates), which we use to identify $\mathbb{R}$ with a subset of $\mathbb{P}^1(\mathbb{R})$. In fact, $\mathbb{P}^1(\mathbb{R}) = \psi[\mathbb{R}] \cup \{ [1 : 0] \}$ and $[1 : 0]$ is referred to as the point at infinity. Thus extending $\psi$ to $\overline{\psi} : \mathbb{R} \cup \{ \infty \} \to \mathbb{P}^1(\mathbb{R})$ so that $\overline{\psi}(\infty) = [1 : 0]$, we get a bijection.
Now fix an invertible linear transformation $A = \begin{pmatrix} a & b \\ c & d \end{pmatrix}$. It acts on $\mathbb{R}^2$ and maps lines passing through the origin to lines passing through the origin, hence it also acts on $\mathbb{P}^1(\mathbb{R})$. Let's see how this action looks like on the 'finite part' $\psi[\mathbb{R}] \subseteq \mathbb{P}^1(\mathbb{R})$.
Consider a point $p \in \psi[\mathbb{R}]$ expressed as $[x : 1]$ in the homogeneous coordinates. Then
$$A p = [ax + b : cx + d].$$
Since we again want to see this point as an element of $\mathbb{R}$, we have to divide both coordinates by the second coordinate, so the latter becomes $1$:
$$Ap = \left[ \frac{ax+b}{cx+d} : 1 \right] = \psi \left( \frac{ax+b}{cx+d} \right).$$
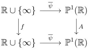
So the rational function $f : x \mapsto \frac{ax+b}{cx+d}$ describes how the points of $\psi[\mathbb{R}]$ change under the action of $A$. If we additionally put $f \left( -\frac{d}{c} \right) = \infty$ and $f(\infty) = \frac{a}{c}$ (or just $f(\infty) = \infty$ if $c = 0$), then the function $f : \mathbb{R} \cup \{ \infty \} \to \mathbb{R} \cup \{ \infty \}$ completely corresponds to the action of $A$ on $\mathbb{P}^1(\mathbb{R})$. In technical terms, the following diagram commutes:

Now fix $x < y$ that are very close together. In particular, let them lie on the same side of the number $-\frac{d}{c}$. The two corresponding elements $(x,1)$, $(y,1)$ form a negatively oriented pair of vectors in $\mathbb{R}^2$. Note, however, that it would be meaningless to say that the pair $[x:1]$, $[y:1]$ is negatively oriented.
If $\det A > 0$, then $A$ is orientation-preserving, hence $(ax+b, cx+d)$, $(ay+b, cy+d)$ will also be negatively oriented. Thus $(f(x), 1)$, $(f(y), 1)$ will be negatively oriented*, and so $f(x) < f(y)$.
If on the other hand $\det A < 0$, then $A$ is not orientation-preserving. By a similar reasoning we get that the pair $(f(x), 1)$, $(f(y), 1)$ is positively oriented, so $f(x) > f(y)$.
Therefore $f$ is locally increasing if $ad-bc > 0$ and locally decreasing if $ad-bc < 0$.
*This actually requires a little justification. To get the vectors $(f(x), 1)$ and $(f(y), 1)$ from $(ax+b, cx+d)$ and $(ay+b, cy+d)$, we divide by the second coordinate. Multiplying or dividing one vector in a pair by a negative number changes the orientation of the pair. But in this case we assume that $x$ and $y$ are on the same side of $-\frac{d}{c}$, which implies that the numbers $cx+d$ and $cy+d$ have the same sign - hence after both divisions the orientation does not change.