6

A well know trigonometric identity states that for all $z$: $$\prod_{k=1}^{n-1}\sin\left(\frac{\pi k}{n}+z\right)=\frac{2}{2^{n}}\csc\left(z\right)\sin\left(nz\right)$$

Is there any such formula for the quantity: $$P(n,z)=\prod_{k=1}^{n-1}\sin\left(\frac{\pi k}{2n}+z\right)$$

I'm particularly interested in lower and upper bounding the ratio $$\frac{P^2(n,\alpha/n)}{P^2(n,\beta/n)}$$ when $n$ grows large.

1 Answers1

3

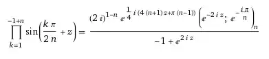
NOT A FULL ANSWER: I doubt that a nice closed form exists. However, I have rearranged a little bit, and found a special case at $z=0$. $$\prod_{k=1}^{n-1}\sin\left(\frac{\pi k}{2n}+z\right)$$ $$=\prod_{k=1}^{n-1}\sin\left(\frac{\pi(n-k)}{2n}+z\right)$$ $$=\prod_{k=1}^{n-1}\sin\left(\frac{\pi}{2}-\frac{\pi k}{2n}+z\right)$$ $$=\prod_{k=1}^{n-1}\cos\left(\frac{\pi k}{2n}-z\right)$$ and so $$\bigg(\prod_{k=1}^{n-1}\sin\left(\frac{\pi k}{2n}+z\right)\bigg)^2= \bigg(\prod_{k=1}^{n-1}\sin\left(\frac{\pi k}{2n}+z\right)\bigg)\bigg(\prod_{k=1}^{n-1}\cos\left(\frac{\pi k}{2n}-z\right)\bigg)$$ $$=\prod_{k=1}^{n-1}\sin\left(\frac{\pi k}{2n}+z\right)\cos\left(\frac{\pi k}{2n}-z\right)$$ Now recall the identity $$\sin(A+B)\cos(A-B)=\frac{\sin(2A)+\sin(2B)}{2}$$ so that our original product is equal to $$=\sqrt{\prod_{k=1}^{n-1}\frac{\sin(\frac{\pi k}{n})+\sin(2z)}{2}}$$ $$=\sqrt{\frac{1}{2^{n-1}}\prod_{k=1}^{n-1}\bigg(\sin\big(\frac{\pi k}{n}\big)+\sin(2z)\bigg)}$$ Yeah... this isn't going to get any neater. However, there is a nice special case at $z=0$: $$=\sqrt{\frac{1}{2^{n-1}}\prod_{k=1}^{n-1}\sin\frac{\pi k}{n}}$$ $$=\sqrt{\frac{1}{2^{n-1}}\cdot \frac{n}{2^{n-1}}}$$ $$=2^{1-n}\sqrt{n}$$ By the way, here's what Wolfram Alpha says:

enter image description here

Franklin Pezzuti Dyer
  • 40,930
  • 9
  • 80
  • 174