4

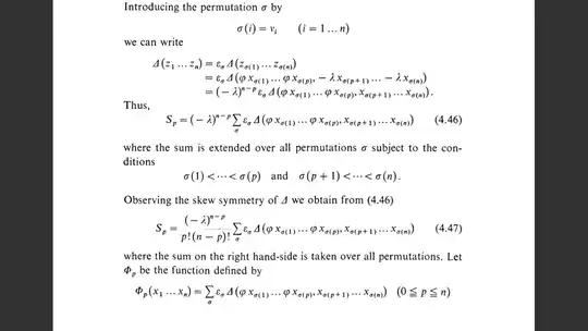
In the book of linear algebra by Werner Greub, at page $121$, it is given that enter image description here

ButI couldn't understand what exactly the author is doing and trying to doing.For example, what is $S_p$, or what does he mean by "Collect in each term of $S_p$ the indexes ...", or what is $$z_{v_1} = \phi x_{v_1} ... z_{v_p} = \phi x_{v_p}.$$I mean even explaining the notation would help.

Generally, the most confusing part is between "Expanding the left hand-side..." and "$\Delta(z_1,...,z_n)= ...$"

I would appreciated if somebody could explain it to me.

Edit:

Actually the main problem is the author explains things as if I'm in his head, which makes almost impossible for me to understand the text with those missing commas, so please be explicit as much as possible in your answers.

Edit 2:

Thanks to the @LeeMosher's answer, I got it the first part, but I have still some questions about the rest.For example, why the permutations $\sigma$ in $4.46$ have the restriction $$\sigma (1) < ... < \sigma (p) \quad \& \quad \sigma (p+1) < ... < \sigma (n),$$

and how $4.47$ is derived from $4.46$. enter image description here

Our
  • 7,425
  • The right hand side of the equation in your Edit 2 does not show $S_p$; in fact, saying that right hand side equals $S_p$ is nonsense, because $p$ is a bound variable on the right hand side but it is a free variable on the left hand side. Instead, that right hand side equals $S_{n-1}$: in each term of the sum, $n-1$ of the arguments are $\phi z_i$ and $1$ of the arguments is $-\lambda x_i$. – Lee Mosher Jul 17 '17 at 20:41
  • 1
    I really don't like this section (for the record: §4.19 in Werner Greub, Linear Algebra, 4th edition 1975). Besides being hard to understand, it is also less general than the result deserves (the result works over any commutative base ring, but Greub introduces denominators such as $p! \left(n-p\right)!$, which works only in characteristic $0$). In modern language, the section essentially states that $\det\left(A-xI_n\right)$ (for an $n\times n$-matrix $A$) is a polynomial of degree $n$ in $x$, and that the coefficients of this polynomial ... – darij grinberg Jul 18 '17 at 12:46
  • 1
    ... (the $\alpha_p$'s in Greub's notation) can be explicitly computed from $A$. The first part of this statement is evident from the formula for the determinant as a sum over permutations (or by induction over $n$ using Laplace expansion). The second part has been discussed, e.g., at https://math.stackexchange.com/questions/28650 (see also https://math.stackexchange.com/questions/336048 and https://math.stackexchange.com/questions/131883 ). – darij grinberg Jul 18 '17 at 12:48
  • @darijgrinberg Is there any book that you can suggest me to check out.I mean checked the question that you have given, but in the first one there is no complete answer I don't know how the generalise the given answer, in the second one the answer is vague, and in the third one they use "exterior product", which I have no idea what it is. – Our Jul 18 '17 at 15:28
  • I'm afraid I don't know of a good source on this kind of result beyond what is linked in the answers -- authors try to avoid even stating it as much as they can. – darij grinberg Jul 18 '17 at 15:59
  • @darijgrinberg That is really unfortunate. By the way, I have checked your notes, but you also just gave the result. – Our Jul 18 '17 at 16:08
  • 1
    There's a solution at the very end, but it relies on various other solutions earlier on, and it's a big mess of computations where the actual ideas are sparse and the bookkeeping takes 98% of the space. – darij grinberg Jul 18 '17 at 16:18
  • @darijgrinberg Yeah, I have found that mess :) – Our Jul 18 '17 at 16:24

2 Answers2

3

Let me write this out in the case $n=2$.

Consider the left hand side of (4.45): $$\Delta(\phi x_1 - \lambda x_2, \phi x_2 - \lambda x_2) $$ In the $n \times n$ case, $\Delta$ is an $n$-linear function, as said in the answer of @ChristianBlatter, which means that it is linear separately in each of its $n$ arguments. In this case where $n=2$, that means $\Delta$ is linear separately in each of its $2$ arguments.

As instructed, "Expand the left hand side..." \begin{align*} \Delta(\phi x_1 - \lambda x_2,\phi x_2 - \lambda x_2) &= \Delta(\phi x_1,\phi x_2 - \lambda x_2) + \Delta (-\lambda x_2,\phi x_2 - \lambda x_2) \\ (*) \qquad &= \underbrace{\Delta(\phi x_1, \phi x_2)}_{\text{in $S_2$}} + \underbrace{\Delta(\phi x_1,-\lambda x_2) + \Delta(-\lambda x_1,\phi x_2)}_{\text{in $S_1$}} \, + \underbrace{\Delta(-\lambda x_1,-\lambda x_2)}_{\text{in $S_0$}} \end{align*} Notice: on the first line, I used linearity of $\Delta$ in its 1st argument; and then, in each of the two $\Delta$ expressions on the right hand side of the first line, I applied linearity of $\Delta$ in its 2nd argument.

Notice, as said,

  • "... we obtain a sum of $2^2=4$ terms each of the form $$\Delta(z_1,z_2) $$ where every argument [that is, each of the arguments $z_i$ for $i=1,2$] is either $\phi x_1$ or $-\lambda x_1$ ..."

To put this in a wordier manner: in each of the four terms,

  • the first argument $z_1$ is either $\phi x_1$ or $-\lambda x_1$,

  • the second argument $z_2$ is either $\phi x_2$ or $-\lambda x_2$.

Now let's see what this says about $S_p$. It says:

  • "$S_p$ $(0 \le p \le 2)$ is the sum of terms in which $p$ of the arguments are equal to $\phi x_i$ and $2-p$ of the arguments are equal to $-\lambda x_i$".

In the display above, you will see that I have labelled each of the four terms depending on whether it is in $S_0$, $S_1$, or $S_2$, where:

  • $S_0$ is the sum of terms (of $(*)$) in which $0$ of the arguments are are equal to $\phi x_i$ and $2$ of the arguments are equal to $-\lambda x_i$.
  • $S_1$ is the sum of terms (of $(*)$) in which $1$ of the arguments is equal to $\phi x_i$ and $1$ of the arguments is equal to $-\lambda x_i$.
  • $S_2$ is the sum of terms (of $(*)$) in which $2$ of the arguments are equal to $\phi x_i$ and $0$ of the arguments are equal to $-\lambda x_i$.

And now we can explicitly write them out: \begin{align*} S_0 &= \Delta(-\lambda x_1,-\lambda x_2) \\ S_1 &= \Delta(\phi x_1,-\lambda x_2) + \Delta(-\lambda x_1,\phi x_2)\\ S_2 &= \Delta(\phi x_1,\phi x_2) \end{align*}

Lee Mosher
  • 135,265
  • Thanks you so much for your detailed answer. I have one more question as the continuation of my main problem, see my edit. – Our Jul 18 '17 at 05:29
2

Note 1: There are dozens of commas missing in the formulas of this page!

Note 2: When Greub's book first appeared it was the "definitive" book on linear algebra at its time. But it was not meant to be a textbook for an introductory linear algebra course.

The quantity at stake is $$\Psi:=\Delta(\phi x_1-\lambda x_1,\ldots,\phi x_n-\lambda x_n)\ .$$ Since $\Delta(\ldots)$ is an $n$-linear function of $n$ vector variables the expanded expression $\Psi$ is a sum of $2^n$ terms of "monomial" character $\Delta(\ldots)$. For each $p\in[0, n]$ there are ${n\choose p}$ terms containing $p$ entries of the form $\phi x_j$ and $n-p$ entries of the form $-\lambda x_j$. The sum of these ${n\choose p}$ terms Greub calls $S_p$.

ad "Collect in each term $\ldots$":

Now he looks at a typical term in $S_p$. Such a term is $\Delta(\ldots)$ of an $n$-tuple ("list") $\ell$ of $n$ vectors in a particular order. He then says: Let $\nu_1<\nu_2<\ldots<\nu_p$ be the positions of the entries in the list $\ell$ of the form $\phi x_j$, and let $\nu_{p+1}<\ldots<\nu_n$ be the positions of the entries in the list $\ell$ of the form $-\lambda x_j$.

ad "Generally the most confusing$\ldots$":

He now goes on to rearrange the entries in the list $\ell$ such that he first writes the $p$ vectors of the form $\phi x_{\nu_k}$ and then the $n-p$ vectors of the form $-\lambda x_{\nu_k}$. Since $\Delta(\ldots)$ has the well known properties with respect to permutations of its entries he formally introduces the permutation $\sigma:\>i\mapsto\nu_i$ and denotes its sign by $\epsilon_\sigma$. In the final formula $(4.46)$ the common factor $(-\lambda)^{n-p}$ is taken out of the sum.

  • I am even more confused than before :) – Our Jul 17 '17 at 16:00
  • First of all, what is the exact definition of $S_p$. I mean for a fixed $p$, is $S_p = \Delta(\lambda x_1, ... \lambda x_{p-1}, \phi x_p, ..., \lambda x_n)$ ? – Our Jul 17 '17 at 16:02
  • The author is explaining things as if I'm in his head, you know what I mean, so please be explicit as much as possible. – Our Jul 17 '17 at 16:05
  • Moreover, if you could tell where are those missing commas, it would be also nice because I really liked this book, and I have seen a fair number of wrong formula, missing content, confusing notation etc., so I'm sort of preparing an "errata" for the book for the public good. – Our Jul 17 '17 at 16:09
  • 1
    Here are the first two important missing commas: the left hand side of (4.45) should be $$\Delta(\phi x_1 - \lambda x_1,...,\phi x_n - \lambda x_n)$$ – Lee Mosher Jul 17 '17 at 16:12
  • Missing commas continue to occur in pairs in the various $\Delta$ expressions. For instance, here are the next two important missing commas: the second factor on the right hand side of (4.45) should be $\Delta(x_1,...,x_n)$. – Lee Mosher Jul 17 '17 at 16:14
  • 1
    At this point, I suggest you go back to the definition of a determinant function and work through how to expand the left hand side of (4.45). That should give you the key. – Lee Mosher Jul 17 '17 at 16:14
  • I mean if the following part were "simple", I wouldn't even spend time on this part so much, but everything next depends on this part, so either I'm not going to look at this chapter and find my own derivation, or try to understand what is written. – Our Jul 17 '17 at 16:17
  • By the way, see my Edit 2. – Our Jul 17 '17 at 16:41