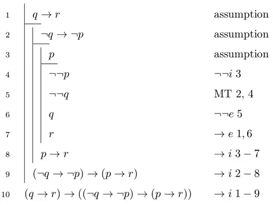
I have come across proofs using a notation with boxes (Logic in Computer Science by Huth and Ryan), where each assumption is inside its own box:

I would now like to write these proofs using Fitch notation, but I am unable to understand how to do that. I have given it a try (see below), but I am not sure this is correct.

I have looked around quite a lot for a "Fitch notation for dummies" but my knowledge within the field of logical proofs is sparse and I have yet to find anything helpful.
I would greatly appreciate any help in the matter of translating "boxes to Fitch".

