Let $(X_i, Y_i)$ for $i=1,2$ be i.i.d. and has uniform distribution on $[0, 1]^2$. Then $|X_1 - X_2|$ has PDF
$$ f(x) = \begin{cases} 2(1-x), & 0 \leq x \leq 1 \\ 0, & \text{otherwise} \end{cases}. $$
This shows that the average distance is
\begin{align*}
\int_{0}^{1}\int_{0}^{1} 4(1-x)(1-y)(x^2 + y^2)^{1/2} \, dxdy
&= \frac{1}{15}(2+\sqrt{2}+5\log(1+\sqrt{2})) \\
&\approx 0.52140543316472067833 \cdots.
\end{align*}
If $l_n$ denotes the average distance between two uniformly chosen points in $[0, 1]^n$, then the following formula may help us estimate the decay of $l_n$ as $n \to \infty$:
$$ l_n = \frac{1}{\sqrt{\pi}} \int_{0}^{\infty} \left \{1 - \left( \frac{\sqrt{\pi} \operatorname{erf}(u)}{u} - \frac{1 - e^{-u^2}}{u^2} \right)^{n} \right\} \frac{du}{u^2}. $$
Using an estimate (which I believe to be true but was unable to prove)
$$ e^{-u^2 / 6} \leq \frac{\sqrt{\pi} \operatorname{erf}(u)}{u} - \frac{1 - e^{-u^2}}{u^2} \leq 1 $$
and hence we get
$$ l_n \leq \frac{1}{\sqrt{\pi}} \int_{0}^{\infty} \frac{1 - e^{-nu^2/6}}{u^2} \, du = \sqrt{\frac{n}{6}}. $$
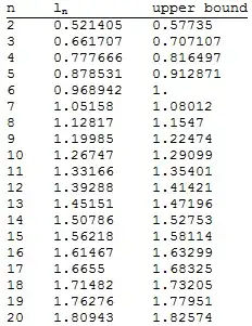
For example, for $2 \leq n \leq 20$ we have
