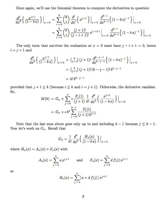
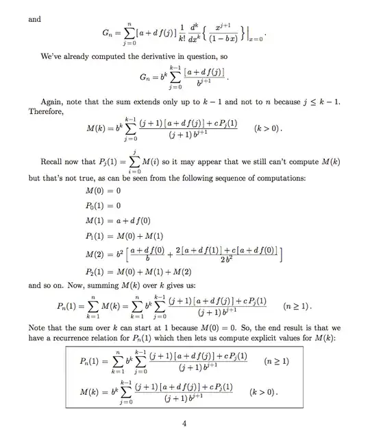
I have an explicit solution, which I obtained by using the method of generating functions. First, compute what I called $P_n(1)$ from a recurrence relation. Then use those to compute explicit values of $M(k)$. $P_n(1)$ is the sum of the $M(k)$ values, for $0 \le k \le n$. You don't even need to compute all $P_n(1)$ values ahead of time. You can compute the $P$'s and the $M$'s in alternation (one $P$, one $M$, one $P$, one $M$, etc).
$
\begin{array}{rcl}
P_n(1) &\!\!\!=&\!\!\!
\sum_{k\,=\,1}^{n} b^k \sum_{j\,=\,0}^{k-1} \frac{\displaystyle (j+1)\,[\,a + d\,f(j)\,] + c\,P_j(1)}{\displaystyle (j+1)\,b^{j+1}}
\qquad (n \ge 1) \\[0.2in]
%
M(k) &\!\!\!=&\!\!\!
b^k \sum_{j\,=\,0}^{k-1} \frac{\displaystyle (j+1)\,[\,a + d\,f(j)\,] + c\,P_j(1)}{\displaystyle (j+1)\,b^{j+1}}
\qquad (k>0)\,.
\end{array}
$
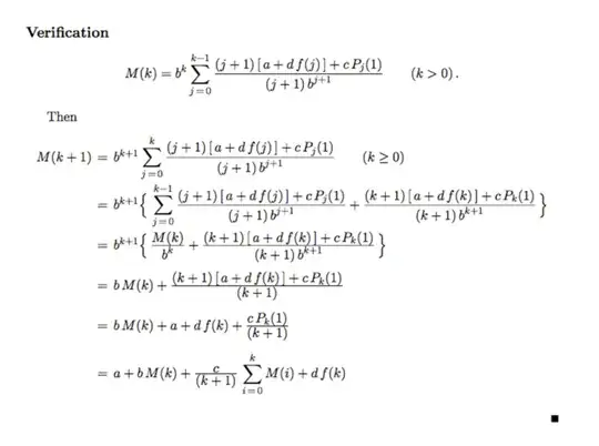
Now, the proof of this result took me 4 pages of LaTeX, with lots of macros of my own that are not supported by the LaTeX engine here so I'm not sure what the best way to share that proof is. For now, I'm going to post screen shots.




