12

POSTSCRIPT:

Haste makes waste. I wrote "no member of $\mathbb C\cup\{\infty\}$ behaves like this". In fact $\infty$ does the job. Accordingly, I have revised the question at the bottom of this post.

END OF POSTSCRIPT

$\newcommand{\d}{\diamond}$In this previous question I asked something about the binary operation $$ a\d b = \frac{a+b}{1+ab}, $$ which is conjugate via the involution $a\mapsto\dfrac{1-a}{1+a}$ to multiplication. I think of the domain as being the set $D=(\mathbb C\cup\{\infty\})^2\setminus\{(\pm1,\mp1)\}$.

I have noticed that $$ \frac 1 a \d b = a\d \frac 1 b = \frac 1 {a\d b}. \tag 1 $$ Since this operation is associative, this identity seems to invite us to imagine a number $R$ (for "reciprocal") such that for all $a$ we have $$ R\d a = \frac 1 a $$ so that $(1)$ would say $$ (R\d a)\d b = a\d (R\d b) = R\d (a\d b). $$ However, no member of $\mathbb C\cup\{\infty\}$ behaves like this.

This reminds me of the identity $f'\ast g = f\ast g'=(f\ast g)'$ where "$\ast$" is convolution. There is no function whose convolution with $f$ is $f'$, but there is the "generalized function" $\delta'$, the derivative of Dirac's delta function.

So MY QUESTION IS whether this creature that I have called $R$ has been sighted in literature that can be cited? (Construe "literature" broadly to include all the crap on the internet, etc.)

Later revision of the question: Are the identities $(1)$ and $\infty\d a=\dfrac 1 a$ "out there" somewhere? (My interest in all this is really an interest in applying this to some geometry problems, concerning which I haven't sorted out all of my thoughts yet.)

(I disagree with the deprecation of the "algebra" tag or I'd have used it here.)

2 Answers2

12

$\newcommand{\Dmd}{\diamond}\newcommand{\Reals}{\mathbf{R}}$Perhaps you know this already, but $(\Reals, +)$ is isomorphic to $\bigl((-1, 1), \Dmd\bigr)$ via $\tanh$, i.e., $$ \tanh(\alpha + \beta) = \frac{\tanh \alpha + \tanh \beta}{1 + \tanh \alpha \tanh \beta} = (\tanh \alpha) \Dmd (\tanh \beta); $$ indeed, this equation is essentially the addition law for velocities, expressed as multiples of $c$, in special relativity. Further, $$ a = \tanh \alpha\quad \text{if and only if}\quad e^{-2\alpha} = \frac{1 - a}{1 + a} \quad \text{if and only if}\quad \alpha = \frac{1}{2} \log \frac{1 + a}{1 - a}, $$ which appears related to your observation that $\Dmd$ is conjugate to multiplication.


Added: Writing $$ a = \tanh \alpha = \frac{\sinh\alpha}{\cosh\alpha} \quad\text{and}\quad b = \tanh \beta = \frac{\sinh\beta}{\cosh\beta}, $$ identity (1) becomes \begin{align*} \frac{1}{a} \Dmd b &= \coth\alpha \Dmd \tanh\beta \\ &= \frac{\coth\alpha + \tanh\beta}{1 + \coth\alpha \tanh\beta} \\ &= \frac{\dfrac{\cosh\alpha}{\sinh\alpha} + \dfrac{\sinh\beta}{\cosh\beta}} {1 + \dfrac{\cosh\alpha}{\sinh\alpha} \dfrac{\sinh\beta}{\cosh\beta}} \\ &= \frac{\cosh\alpha \cosh\beta + \sinh\alpha \sinh\beta} {\sinh\alpha \cosh\beta + \cosh\alpha \sinh\beta} \\ &= \frac{\cosh (\alpha + \beta)}{\sinh (\alpha + \beta)} \\ &= \frac{1}{a \Dmd b}, \end{align*} and similarly (or by commutativity) for $a \Dmd (1/b)$. My initial thoughts were that $\Dmd$ has surely been noticed in the past (as Bill Dubuque's links seem to conform), and perhaps the preceding computation placed the fact under the umbrella of "hyperbolic identities". :)

I'm not a mathematical historian by any means, but in terms of citable references, (1) seems not too far distant from a basic identity such as the factorization of a difference of squares, in that (at risk of stating the obvious) $$ \frac{1}{a} \Dmd b = \frac{(1/a) + b}{1 + (b/a)} = \frac{1 + ab}{a + b} = \frac{1}{a \Dmd b}. $$ The fact that $\infty \Dmd b = 1/b$ for all (finite) $b$ may be interpreted as a consequence of $$ a \Dmd b = \frac{a + b}{1 + ab} = \frac{1 + (b/a)}{(1/a) + b} $$ together with an ordinary limit as $a \to \infty$. :)

Here are some geometric thoughts (organized, I hope, but not very well-culled) that may be germane to the spirit of the question.

Consider the maps $$ \phi(a) = \frac{1 + a}{1 - a},\qquad \rho(a) = \frac{1}{a},\qquad \mu(a) = -a, $$ on $\Reals \cup\{\infty\}$, i.e., the "Riemann circle". Geometrically, $\phi$ is a quarter turn counterclockwise, so $\phi \circ \phi$ is the half-turn of the Riemann circle, a.k.a. the map $\rho \circ \mu = \mu \circ \rho$ sending $a$ to $-1/a$. The maps $\phi$ and $\rho$ (or $\phi$ and $\mu$) generate a dihedral group of order eight, in which, for example, $$ \phi \circ \mu = \rho \circ \phi,\qquad \phi \circ \rho = \mu \circ \phi. $$ Loosely, $\phi$ exchanges reciprocation with negation.

Consider also the maps $\psi:(0, \infty) \to \Reals$ defined by $\psi(a) = \tfrac{1}{2} \log a$; and $\tanh:\Reals \to (-1, 1)$. Note that $\tanh^{-1} = \psi \circ \phi$, and the maps $$ \bigl((0, \infty), \cdot\bigr) \stackrel{\psi}{\longrightarrow} (\Reals, +) \stackrel{\tanh}{\longrightarrow} \bigl((-1, 1), \Dmd\bigr) $$ are isomorphisms of Abelian groups.

The backward composition $$ \phi = (\tanh \circ \psi)^{-1} = \psi^{-1} \circ \tanh^{-1} $$ maps $(-1, 1)$ bijectively to $(0, \infty)$, and extends to $[-1, 1]$ by continuity (in the Riemann circle). In fact, $\phi$ is an isomorphism (as a composition of isomorphisms), but the "morphism condition" may be pleasantly checked directly: \begin{align*} \phi(a \Dmd b) &= \frac{1 + \dfrac{a + b}{1 + ab}}{1 - \dfrac{a + b}{1 + ab}} \\ &= \frac{1 + ab + a + b}{1 + ab - a - b} \\ &= \frac{(1 + a)(1 + b)}{(1 - a)(1 - b)} \\ &= \phi(a) \cdot \phi(b). \end{align*}

Since $\phi(1/a) = -\phi(a)$, the condition "$R \Dmd a = 1/a$ for all (finite) $a$" maps under $\phi$ to $$ \phi(R) \cdot \phi(a) = -\phi(a)\quad\text{for all (finite) $a$,} \quad\text{or}\quad \phi(R) = -1, $$ recovering $R = \phi^{-1}(-1) = \infty$.

Again, the key fact lurking behind these observations appears to be the existence of three mutually-isomorphic groups embedded in the Riemann circle, and the fact that $\Dmd$ is "addition in disguise".

  • 2
    Indeed, the interpretation of the group law as the velocity addition law of special relativity is Example B in Northshield's paper cited in my answer. – Bill Dubuque Mar 11 '15 at 00:37
  • I was aware of this, but of course it doesn't answer the actual question. – Michael Hardy Mar 11 '15 at 02:20
  • @IlmariKaronen: Thank you for the LaTeX tweak. :) I was under the (partially-incorrect?) understanding that macros in one post were available page-wide. (The code previewed correctly on my machine....) – Andrew D. Hwang Mar 11 '15 at 15:47
  • @MichaelHardy: It seems to me the addition formula for tanh is actually the source of your observations; I've also fleshed out what appear to be the lurking geometric ideas (in terms of mappings on the one-point compactification of the reals). :) – Andrew D. Hwang Mar 11 '15 at 15:57
  • @user86418 : I wasn't thinking about the hyperbolic tangent at all. I was thinking about LFTs and some problems about circles and spheres and tori. ${}\qquad{}$ – Michael Hardy Mar 11 '15 at 17:31
  • 1
    @user86418: They are, but it's more of a bug than a feature. I noticed it because I'm using SOUP, which includes a client-side fix for the definition leakage. Also, there are places (like review, or revision history) where answers may be shown without the question for context. – Ilmari Karonen Mar 11 '15 at 18:31
7

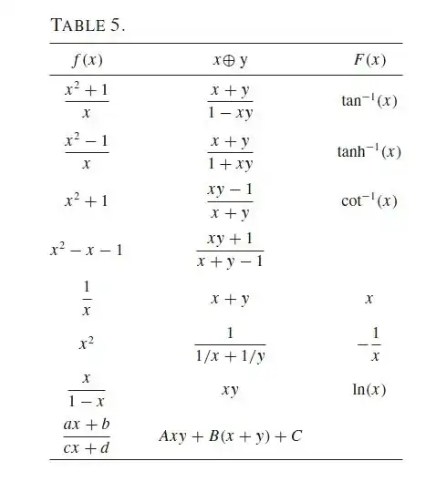
Such addition laws have indeed been studied. For example, see the interesting Monthly article by Sam Northshield, Associativity of the Secant Method, which I mentioned in an earlier post on Rudin's use of the secant method for approximating $\,\sqrt2.\,$

Below is a table of addition laws excerpted from the article. These group laws are essentially group laws on degenerate elliptic curves. For more on this viewpoint see Franz Lemmermeyer's Conics - a poor man's elliptic curves.

enter image description here

Bill Dubuque
  • 282,220