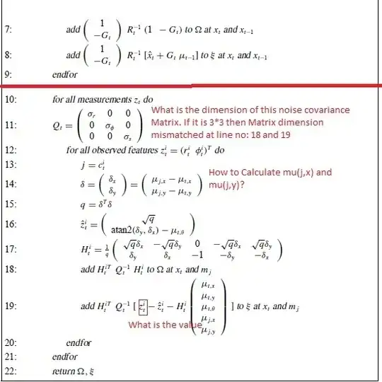
I am trying to implement Graph slam. I have some doubts regrading implementation. I attached a picture to clarify my doubt.
[
I have a doubt in line number 2. It show omega have a scalar value 0. But at line 3 it show omega is a Matrix.
Next doubt at line 7. In this line omega which is a 3*3 matrix is add with a 6*6 matrix. As per my knowledge it is impossible.
I share the link of the paper where page no: 411-412 define this algorithm. Link of the paper is http://robots.stanford.edu/papers/thrun.graphslam.pdf.
If any one working on it please share your knowledge.
