Your 102-digit nuber is two digits more than the first RSA challenge RSA-100 that has 330-bit.
This can be easily achieved with existing libraries like;
The experiment
Factor of a 99 digit number
$n =$ 112887987371630998240814603336195913423482111436696007401429072377238341647882152698281999652360869.
I have tried with Pollard's $p$ -1 algorithm, still running for one and a half-day and did not produce a result, yet. This is what expected due to the B bound must be around $2^{55}$ with success probability $\dfrac{1}{27}$. I've stopped the experiment after the CADO-NFS succeeds. This is self-implemented Pollard's $p$ -1, one can find an optimized in GMP-ECM
Tried the CADO-NFS. The stable version may not be easily compiled for new machines, so prefer the active one from the GitLab.
After ~6 hours with 4 cores, CADO-NFS produced the result. This was an RSA CTF/Challange and I don't want to spoil the fun; here the hash commitments with SHA-512, it is executed with OpenSSL;
echo -n "prime x" | openssl sha512
27c64b5b944146aa1e40b35bd09307d04afa8d5fa2a93df9c5e13dc19ab032980ad6d564ab23bfe9484f64c4c43a993c09360f62f6d70a5759dfeabf59f18386
faebc6b3645d45f76c1944c6bd0c51f4e0d276ca750b6b5bc82c162e1e9364e01aab42a85245658d0053af526ba718ec006774b7084235d166e93015fac7733d
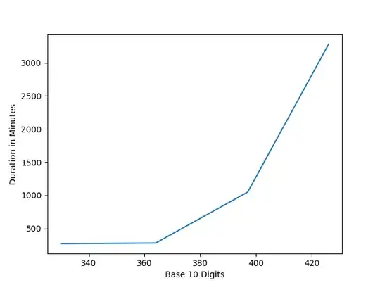
Experiments on RSA challenges with 6 cores using CADO-NFS
| RSA Challange |
Bit size |
Time in minutes |
| RSA-100 |
330 |
270 |
| RSA-110 |
364 |
280 |
| RSA-120 |
397 |
1049 |
| RSA-129 |
426 |
3279 |
| RSA-140 |
430 |
Not tested |
The core count is very important to reduce the time as 512-bit can be broken as 4 hours in the EC2 platform.
Details of the experiment
CPU : Intel(R) Core(TM) i7-7700HQ CPU @ 2.80GHz
RAM : 32GB - doesn't require much ram, at least during polynomial selection and Sieveing.
Dedicated cores : 4
Test machine Ubuntu 20.04.1 LTS
CUDA - NO
gcc version 9.3.0 (Ubuntu 9.3.0-17ubuntu1~20.04)
cmake version 3.16.3
external libraries: Nothing out of Ubuntu's canonicals
CODA-NFS version : GitLab develepment version cloned at 23-01-2021
The bit sizes;
- $n$ has 326 bits
- $p$ has 165 bits
- $q$ has 162 bits
The cado-nfs-2.3.0 did not compile and giving errors about HWLOC- HWLOC_TOPOLOGY_FLAG_IO_DEVICES. Asked a friend to test the compile and it worked for them. It was an older Linux version. So I decided to use the GitLab version.