I was learning about the finding the key length reading the following web site... http://practicalcryptography.com/cryptanalysis/stochastic-searching/cryptanalysis-vigenere-cipher/
and I really don't understand some part of the example shown in the web. They assume the key length is 2 and extract the two sequence 1,3,5,7.... and 2,4,6,8... and from these two sequences they calculate the I.C.
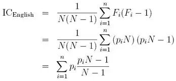
I wasn't sure how they calculate the I.C. for each sequence. Do they find the frequency count of each letter from a to z, and calculate the I.C using the following formula?
