I have been doing research on a tweakable block cipher called BipBip. This is a rather niche cipher so I'll give a few facts about it for background before asking my question:
The structure is based on the decryptor. This is because BipBip's main purpose is to be used in Cryptographic Capability Computing which requires a cipher to encrypt and decrypt 64-bit pointers, and the pointers will be decrypted much more often than encrypted. The latency of the encryptor, to the writers of the paper, does not matter. They only care about the latency of the decryptor. They write:
Low-latency tweakable block ciphers like Mantis [BJK+ 16] or Qarma [Ava17] have a low latency for encryption and decryption. One ingredient that makes this possible is their simple and structured tweak schedule. However, in the case of BipBip, we only require ultra-low latency for decryption. Therefore, from a performance perspective, there is no issue with using a non-linear tweak schedule with high diffusion. In contrast, using a non-linear tweak schedule is an opportunity to lower the latency compared to using a simple and structured tweak schedule, since non-linearity paired with good diffusion in the tweak schedule can significantly contribute to the cryptographic strength of the cipher.
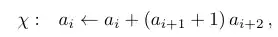
In the rounds of the tweak schedule there is a function called χ (chi) that is defined by:
What is very interesting about this function is that it makes use of an AND gate, making it non-invertible. This, in turn, makes the entire tweak schedule non-invertible, which means it has to run completely before encryption can begin. This causes the latency of the encryptor to be 3x longer than the decryptor.
My question is, if they chose an invertible option without an AND gate which allowed for significantly less latency of the encryptor, would the security be affected? Are there advantages or disadvantages to a non-invertible scheduler? We could apply this question in reverse to other block ciphers: what if AES had a non-invertible key schedule? Would it have increased security, and if so, would it be worth the latency trade-off?
If anyone can provide links to papers or references that would also be extremely helpful!

